ウィンドシア(Wind Shear)とは地上からの高さによる風速の変化のことをいい、ウィンドプロファイル(Wind Profile)とはその分布形状のことをいいます。
ウィンドプロファイルは、一般に対数則(Log law)、または、べき乗則(Power law)で表します。対数則は地表面粗度長(surface roughness length)と関連付けられます。
対数則:

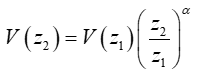
べき乗則:

平均ウィンドシアを算出する方法は、大きく分けて2つあります。
一つ目は、各高度の平均風速から算出する方法、二つ目は、すべての時刻におけるシアを算出し、その時系列の平均値または中央値から求める方法となります。時系列で算出する場合、平均値よりも中央値の方が外れ値の影響が小さくなると言えます。また、2つ以上の値を用いて、カーブフィット(最小二乗法など)により算出をします。
また、IEC61400-1:2019では、サイトのウィンドシア(11.3.3 観測設定)に関して、
- センサー間の垂直方向の離隔距離は、ロータ径の少なくとも1/3の離隔距離とする。
- 安定成層の頻度が多い地域、複雑な地形、粗度の変化が激しい地域では、ウィンドシアの値が大きく変動することが報告されているため、このような時は、平均風速を用いるだけでは十分でない可能性がある。
と記載されています。また、疲労荷重適合性評価において、
- Ed3: 方位別の平均ウィンドシアのべき指数αは、0から0.2の範囲である。
- Ed4: 発電中のすべての風向及び風速のエネルギー加重平均で、サイトのウィンドシアのべき指数αは、0.05から0.25の範囲である
としています。
関連トピック
- 大気境界層(Atmospheric boundary layer: ABL)
- 接地層(Surface layer: SL)
- 摩擦速度(friction velocity)
- カルマン定数(Karman constant)
- 地衡風(geostrophic wind)
- 傾圧効果(baroclinic effect)
- ゼロ面変位(zero-plane displacement height)
- 地表面粗度(surface roughness)
- 大気安定度(atmospheric stability)
- モニン・オブコフ(Monin-Obukhov)の相似則(MOST)
- 低レベルジェット(Low Level Jet: LLJ)
- 内部境界層(Internal boundary layer: IBL)
- 海面粗度(sea surface roughness)
- Charnockの関係式(Charnock’s relation)
参考
DTU Coursera online course in wind energy: Wind Profiles