割引率とは、現在価値を算出する際に用いられるパラメータです。 割引率には、様々なものがあるため、解説をしたいと思います。
内部収益率(IRR: Internal Rate of Return)
IRRは投資額とキャッシュフローの現在価値の合計(=正味現在価値、NPV: Net Present Value)が等しくなるときの割引率です。投資をする上で最低限必要な収益率となり、IRRが大きいほど投資効率がいいといえます。
投資した資本金に対する収益率をエクイティIRR、資本金に借入金も含めた収益率をプロジェクトIRRといいます。
固定価格買取(FIT)制度においては、事業リスクが大きい電源ほど高く、利潤配慮期間として1~2%上乗せしてIRRが設定されています(利潤分は政策経費として位置付けられる)。
ハードル・レート
資本調達をする上で最低限必要なコスト。WACCをハードル・レートとして用いることが多いです。ハードル・レートよりもIRRが大きいと(IRR > WACC)、プロジェクトとして成立すると言えます。
WACC(加重平均資本コスト)
負債コストと株主資本コストの加重平均。名目か実質か(物価上昇の考慮の有無)、税引前か税引後かで、4種類のWACCがあります。比較をする際は、何が用いられているか確認が必要です。以下に、IEA Wind Task26 (2023)のWACC(名目・税引後、実質・税引後)の定義式を示します[1]。

ここで、Dtは負債比率、Eqは株主資本比率、IRは金利、REは名目株主期待リターン(=資本コスト)、Tは法人税率です。(1-T)IRを債務コストまたは負債コスト(負債による節税効果考慮後のコスト)といいます。また、iは物価上昇率です。欧米の発電コスト(LCOE)の計算では、WACCを割引率として用いていることが多く、また、WACCをファイナンスコストとして用いています。
金利
借入金にかかる費用である支払利息です。
リスクフリーレート
無リスク資産の利回りのことをいいます。先進国の国債の10年債の利回りなどが用いられます。
リスクプレミアム
リスク資産の期待収益率と無リスク金利との差のことをいいます。
洋上風力のファイナンスコスト(WACC)は、徐々に低下してきており、洋上風力の発電コスト(LCOE)の低減に寄与しています。また、徐々に、株主資本よりも割安な負債による資金調達の割合が増え(すなわち、D/Eレシオが大きくなり)、リスクプレミアムも低減してきています[2]。

以下に、NRELによる浮体式風力の発電コスト評価に用いられたファイナンスコストに関連するパラメータを例として示します(Table 10.)[3]。この表から、浮体式では、金利4.4%、株主期待リターン12.0%となっていますが、WACCは税引後、名目で5.4%となっており、上の図で示した現状の欧州の着床式のWACCのレベルと同程度と想定されていることが分かります。
また、例年発行されているCost of Wind Energy Reviewでは、2022のコスト算定で用いている金利と期待リターンは、着床式と浮体式で同じで、それぞれ5.9%、9.0%としています[4]。

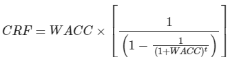
この表の、FCR(Fixed Charge Rate)は固定費用率、CRF(Capital Recovery Factor)は資本回収係数(投資金額と、毎年の収益を一定期間受け取った場合の現在価値の比率)です。FCRは、CRFにProject Finance factorを乗じて求められます[5]。


ここで、Project Finance Factorは、減価償却費の現在価値PVD及び法人税TRを用いて、以下の式により求められます。

発電コストにおけるファイナンスコストによる影響は大きいため、比較したい対象を元に、例えば、日本と海外の比較なのか、国内の電源間の比較なのか、現在と将来の比較なのか、着床式と浮体式の比較なのかによって、割引率を設定するのがよいように思います。
参考文献
[1] IEA Wind TCP Task 26 Wind Technology, Cost, and Performance Trends for Denmark, Germany, Ireland, Japan, Norway, Sweden, the European Union, and the United States 2016-2019, 2023.
[2] Morten Jensen, LCOE update on recent trends offshore, 6th Wind Energy Systems Engineering Workshop, 2022.
[3] Philipp Beiter, et.al., The Cost of Floating Offshore Wind Energy in California Between 2019 and 2032, NREL/TP-5000-77384, 2020.
[4] NREL 2022 Cost of Wind Energy Review, 2023.
[5] NREL Equations and Variables in the ATB, 2022